作者投稿和查稿 主编审稿 专家审稿 编委审稿 远程编辑

计算机工程 ›› 2025, Vol. 51 ›› Issue (9): 101-109. doi: 10.19678/j.issn.1000-3428.0068953

• 人工智能与模式识别 • 上一篇    下一篇

结合前置三元组集的知识图谱推荐

符家成1, 田瑾1, 张玉金1, 方志军2,*()   

  1. 1. 上海工程技术大学电子电气工程学院, 上海 201620
    2. 东华大学计算机科学与技术学院,上海 201620
  • 收稿日期:2023-12-05 修回日期:2024-04-13 出版日期:2025-09-15 发布日期:2024-07-11
  • 通讯作者: 方志军

Knowledge Graph Recommendation Based on Previous Triple Set

FU Jiacheng1, TIAN Jin1, ZHANG Yujin1, FANG Zhijun2,*()   

  1. 1. School of Electronic and Electrical Engineering, Shanghai University of Engineering Science, Shanghai 201620, China
    2. School of Computer Science and Technology, Donghua University, Shanghai 201620, China
  • Received:2023-12-05 Revised:2024-04-13 Online:2025-09-15 Published:2024-07-11
  • Contact: FANG Zhijun

摘要:

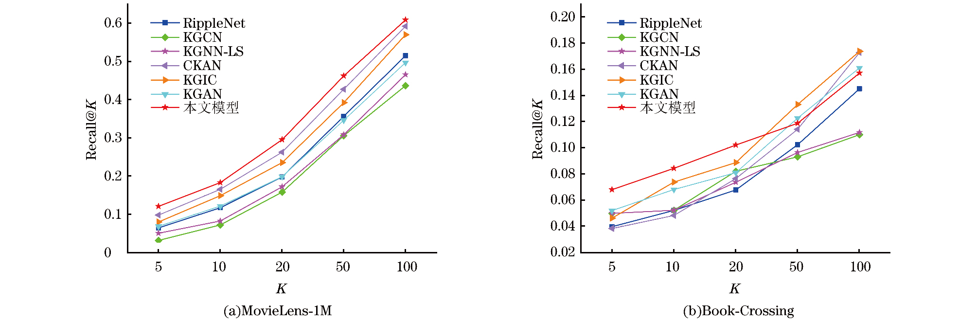
为了充分利用物品间的关系,推荐算法引入知识图谱以丰富物品和用户的特征。然而,大部分基于知识图谱的推荐算法往往忽视了当前跳三元组集、初始种子和上一跳三元组集之间的关系,致使所构建的用户和物品的特征表示不够准确。针对该局限性,提出一种结合前置三元组集的知识图谱推荐模型。该模型基于异构传播策略生成用户和物品的初始表示,并在知识传播的过程中结合当前跳三元组集、初始种子和上一跳三元组集之间的关系以控制每跳三元组集的表示,从而生成用户和物品的最终表示,进而根据最终表示预测用户和物品交互的概率。在书籍和电影两个场景的数据集上的实验结果表明,该模型在曲线下面积(AUC)、F1值和召回率这3个测试指标下优于目前主流的基于知识图谱的推荐模型。

关键词: 知识图谱, 推荐系统, 异构传播, 知识感知, 注意力机制

Abstract:

To fully utilize the relationships between items, current recommendation algorithms introduce knowledge graphs to enrich the features of both items and users. However, most knowledge-graph-based recommendation algorithms often overlook the connection between the current hop triple set, the initial seed, and the previous hop triple set, leading to inaccurate feature representations of users and constructed items. To address these limitations, this study proposes a knowledge graph recommendation model that combines pre-existing triple sets. It generates initial representations of users and items based on heterogeneous propagation strategies and combines the relationship between the current hop triple set, the initial seed, and the previous hop triple set to control the representation of each hop triple set. Consequently, the final representations of users and items are generated, and the probability of interaction between users and items is predicted based on thees final representations. On datasets consisting of books and movies, the proposed model outperforms the current advanced knowledge-graph-based recommendation models in terms of Area Under the Curve (AUC), F1 score, and recall.

Key words: knowledge graph, recommendation system, heterogeneous propagation, knowledge perception, attention mechanism