| 1 |
曲栩, 甘锐, 安博成, 等. 基于广义时空图卷积网络的交通群体运动态势预测. 交通运输工程学报, 2022, 22 (3): 79- 88.
|
|
QU X , GAN R , AN B C , et al. Prediction of traffic swarm movement situation based on generalized spatio-temporal graph convolution network. Journal of Traffic and Transportation Engineering, 2022, 22 (3): 79- 88.
|
| 2 |
MEDINA-SALGADO B , SÁNCHEZ-DELACRUZ E , POZOS-PARRA P , et al. Urban traffic flow prediction techniques: a review. Sustainable Computing: Informatics and Systems, 2022, 35, 100739.
doi: 10.1016/j.suscom.2022.100739
|
| 3 |
姚俊峰, 何瑞, 史童童, 等. 基于机器学习的交通流预测方法综述. 交通运输工程学报, 2023, 23 (3): 44- 67.
|
|
YAO J F , HE R , SHI T T , et al. Review on machine learning-based traffic flow prediction methods. Journal of Traffic and Transportation Engineering, 2023, 23 (3): 44- 67.
|
| 4 |
ZHENG G , CHAI W K , DUANMU J L , et al. Hybrid deep learning models for traffic prediction in large-scale road networks. Information Fusion, 2023, 92, 93- 114.
doi: 10.1016/j.inffus.2022.11.019
|
| 5 |
ZHANG X , GONG Y S , ZHANG C Q , et al. Spatio-temporal fusion and contrastive learning for urban flow prediction. Knowledge-Based Systems, 2023, 282, 111104.
doi: 10.1016/j.knosys.2023.111104
|
| 6 |
李松江, 祝绍凇, 杨华民, 等. 基于时空相关性多任务神经网络的交通预测. 计算机应用与软件, 2021, 38 (9): 286- 292.
|
|
LI S J , ZHU S S , YANG H M , et al. Traffic prediction based on spatiotemporal correlation multitask neural network. Computer Applications and Software, 2021, 38 (9): 286- 292.
|
| 7 |
MA C X , DAI G W , ZHOU J B . Short-term traffic flow prediction for urban road sections based on time series analysis and LSTM_BILSTM method. IEEE Transactions on Intelligent Transportation Systems, 2021, 23 (6): 5615- 5624.
|
| 8 |
SHU W N , CAI K , XIONG N N . A short-term traffic flow prediction model based on an improved gate recurrent unit neural network. IEEE Transactions on Intelligent Transportation Systems, 2021, 23 (9): 16654- 16665.
|
| 9 |
徐丽, 符祥远, 李浩然. 基于门控卷积的时空交通流预测模型. 计算机应用, 2023, 43 (9): 2760- 2765.
|
|
XU L , FU X Y , LI H R . Spatial-temporal traffic flow prediction model based on gated convolution. Journal of Computer Applications, 2023, 43 (9): 2760- 2765.
|
| 10 |
RAHMANI S , BAGHBANI A , BOUGUILA N , et al. Graph neural networks for intelligent transportation systems: a survey. IEEE Transactions on Intelligent Transportation Systems, 2023, 24 (8): 8846- 8885.
doi: 10.1109/TITS.2023.3257759
|
| 11 |
刘俊奇, 涂文轩, 祝恩. 图卷积神经网络综述. 计算机工程与科学, 2023, 45 (8): 1472- 1481.
|
|
LIU J Q , TU W X , ZHU E . Survey on graph convolutional neural network. Computer Engineering & Science, 2023, 45 (8): 1472- 1481.
|
| 12 |
ZHAO L , SONG Y J , ZHANG C , et al. T-GCN: a temporal graph convolutional network for traffic prediction. IEEE Transactions on Intelligent Transportation Systems, 2020, 21 (9): 3848- 3858.
doi: 10.1109/TITS.2019.2935152
|
| 13 |
戴俊明, 曹阳, 沈琴琴, 等. 基于多时空图卷积网络的交通流预测. 计算机应用研究, 2022, 39 (3): 780- 784.
|
|
DAI J M , CAO Y , SHEN Q Q , et al. Traffic flow prediction based on multi-spatial-temporal graph convolutional network. Application Research of Computers, 2022, 39 (3): 780- 784.
|
| 14 |
冯思芸, 施振佺, 曹阳. 基于全局时空特性的城市路网交通速度预测模型. 计算机工程, 2022, 48 (5): 112- 117.
|
|
FENG S Y , SHI Z Q , CAO Y . Urban road network traffic speed prediction model based on global spatio-temporal characteristics. Computer Engineering, 2022, 48 (5): 112- 117.
|
| 15 |
BAI L , YAO L , LI C , et al. Adaptive graph convolutional recurrent network for traffic forecasting. Advances in Neural Information Processing Systems, 2020, 33, 17804- 17815.
|
| 16 |
CHEN Z J , LU Z , CHEN Q S , et al. Spatial-temporal short-term traffic flow prediction model based on dynamical-learning graph convolution mechanism. Information Sciences, 2022, 611, 522- 539.
doi: 10.1016/j.ins.2022.08.080
|
| 17 |
ZHANG W , ZHU F H , LV Y S , et al. AdapGL: an adaptive graph learning algorithm for traffic prediction based on spatiotemporal neural networks. Transportation Research Part C: Emerging Technologies, 2022, 139, 103659.
doi: 10.1016/j.trc.2022.103659
|
| 18 |
GUO S, LIN Y, FENG N, et al. Attention based spatial-temporal graph convolutional networks for traffic flow forecasting[C]//Proceedings of the 33th AAAI Conference on Artificial Intelligence. Honolulu, USA: AAAI Press, 2019: 922-929.
|
| 19 |
葛宇然, 付强. 基于时空联合学习的城市交通流短时预测模型. 计算机工程, 2023, 49 (1): 270- 278.
doi: 10.19678/j.issn.1000-3428.0063680
|
|
GE Y R , FU Q . Short-time prediction model for urban traffic flow based on joint spatio-temporal learning. Computer Engineering, 2023, 49 (1): 270- 278.
doi: 10.19678/j.issn.1000-3428.0063680
|
| 20 |
ZHANG W Y , ZHU K , ZHANG S , et al. Dynamic graph convolutional networks based on spatiotemporal data embedding for traffic flow forecasting. Knowledge-Based Systems, 2022, 250, 109028.
doi: 10.1016/j.knosys.2022.109028
|
| 21 |
LAN S, MA Y, HUANG W, et al. DSTAGNN: dynamic spatial-temporal aware graph neural network for traffic flow forecasting[C]//Proceedings of the 39th International Conference on Machine Learning. San Diego, USA: ACM Press, 2022: 11906-11917.
|
| 22 |
尹恒, 张凡, 李天瑞. 基于多邻接图与多头注意力机制的短期交通流量预测. 计算机科学, 2023, 50 (4): 40- 46.
|
|
YIN H , ZHANG F , LI T R . Short-time traffic flow forecasting based on multi-adjacent graph and multi-head attention mechanism. Computer Science, 2023, 50 (4): 40- 46.
|
| 23 |
谷振宇, 陈聪, 郑家佳, 等. 考虑时空相似性的动态图卷积神经网络交通流预测. 控制与决策, 2023, 38 (12): 399- 3408.
|
|
GU Z Y , CHEN C , ZHENG J J , et al. Traffic flow prediction based on dynamic graph convolution neural network considering spatio-temporal similarity. Control and Decision, 2023, 38 (12): 399- 3408.
|
| 24 |
BAO Y X , SHEN Q Q , CAO Y , et al. PLU-MCN: perturbation learning enhanced U-shaped multi-graph convolutional network for traffic flow prediction. Information Fusion, 2024, 104, 102213.
doi: 10.1016/j.inffus.2023.102213
|
| 25 |
SHAO W, JIN Z, WANG S, et al. Long-term spatio-temporal forecasting via dynamic multiple-graph attention[C]//Proceedings of the 31st International Joint Conference on Artificial Intelligence. Vienna, Austria: Morgan Kaufmann Press, 2022: 2225-2232.
|
| 26 |
|
| 27 |
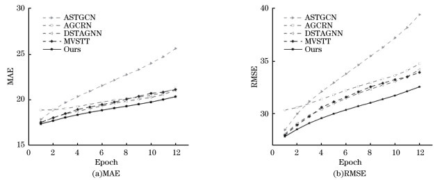
PU B , LIU J , KANG Y , et al. MVSTT: a multiview spatial-temporal transformer network for traffic-flow forecasting. IEEE Transactions on Cybernetics, 2024, 54 (3): 1582- 1595.
doi: 10.1109/TCYB.2022.3223918
|