| 1 |
王鑫, 邹磊, 王朝坤, 等. 知识图谱数据管理研究综述. 软件学报, 2019, 30 (7): 2139- 2174.
|
|
WANG X , ZOU L , WANG C K , et al. Research on knowledge graph data management: a survey. Journal of Software, 2019, 30 (7): 2139- 2174.
|
| 2 |
朱迪, 张博闻, 程雅琪, 等. 知识赋能的新一代信息系统研究现状、发展与挑战. 软件学报, 2023, 34 (10): 4439- 4462.
|
|
ZHU D , ZHANG B W , CHENG Y Q , et al. Survey on knowledge enabled new generation information systems. Journal of Software, 2023, 34 (10): 4439- 4462.
|
| 3 |
|
| 4 |
|
| 5 |
|
| 6 |
SAKR S , AL-NAYMAT G . Relational processing of RDF queries: a survey. ACM SIGMOD Record, 2010, 38 (4): 23- 28.
doi: 10.1145/1815948.1815953
|
| 7 |
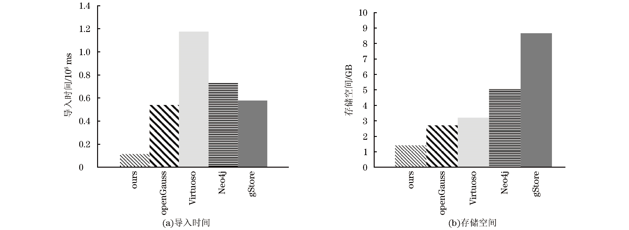
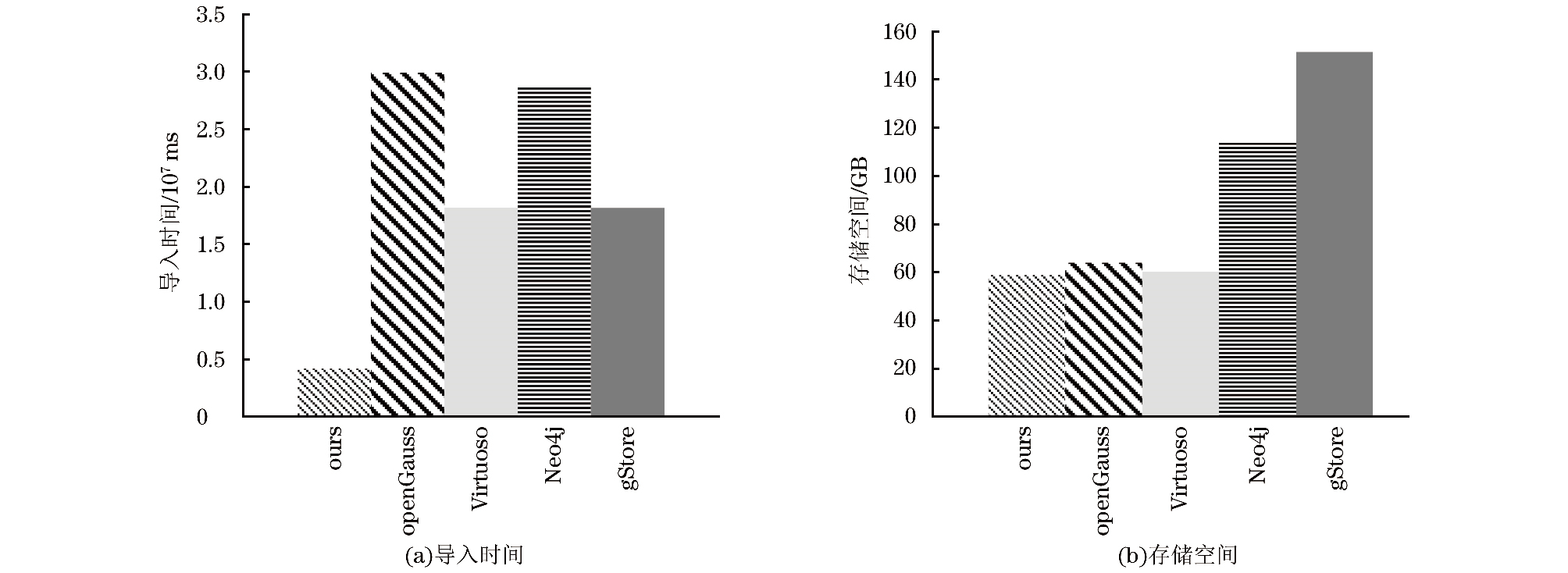
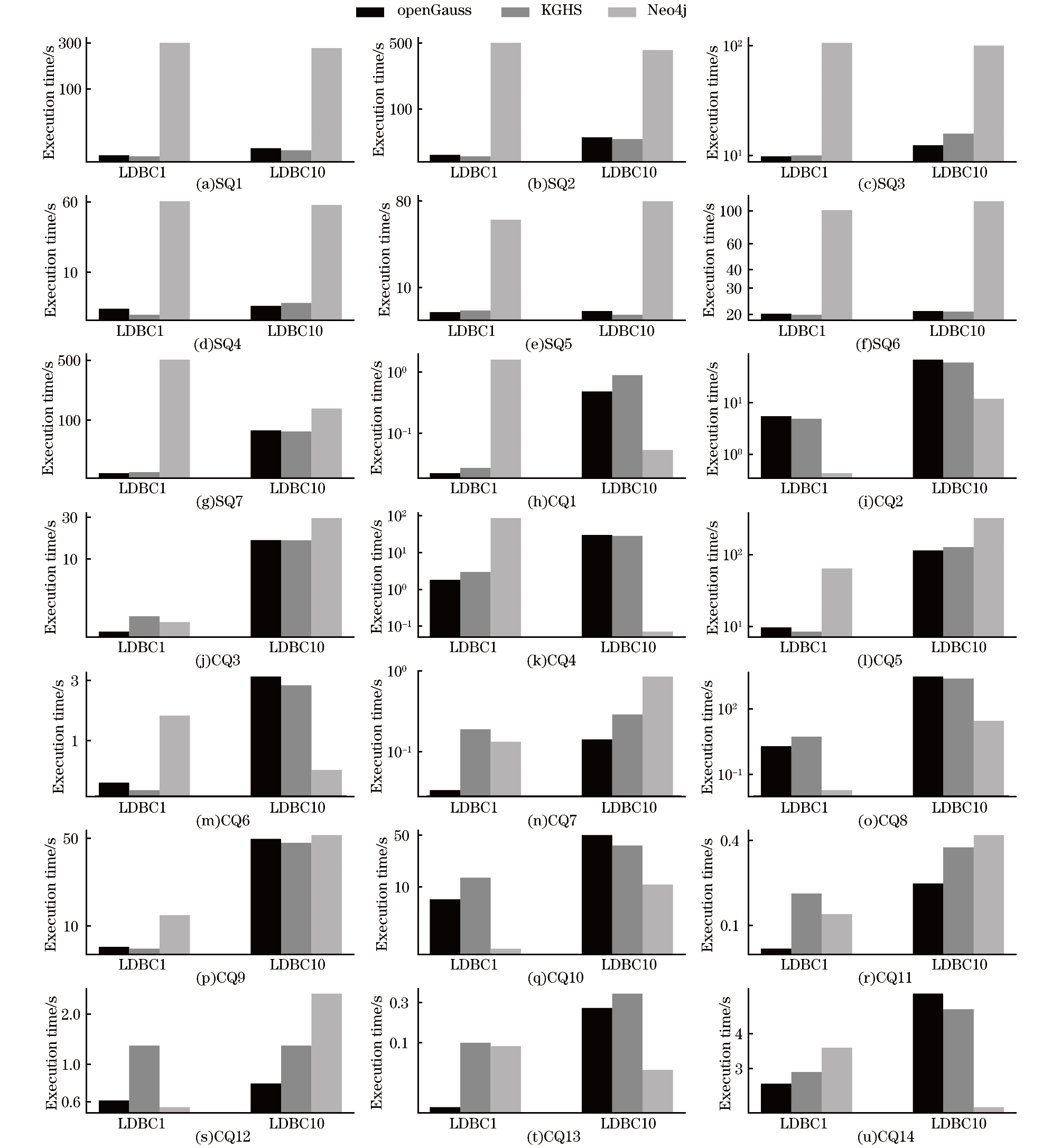
|
| 8 |
|
| 9 |
|
| 10 |
ABADI D J, MARCUS A, MADDEN S R, et al. Scalable semantic Web data management using vertical partitioning[C]//Proceedings of the 33rd International Conference on Very Large Data Bases. New York, USA: ACM Press, 2007: 411-422.
|
| 11 |
NEUMANN T , WEIKUM G . RDF-3X. Proceedings of the VLDB Endowment, 2008, 1 (1): 647- 659.
doi: 10.14778/1453856.1453927
|
| 12 |
WEISS C , KARRAS P , BERNSTEIN A . Hexastore. Proceedings of the VLDB Endowment, 2008, 1 (1): 1008- 1019.
doi: 10.14778/1453856.1453965
|
| 13 |
BORNEA M A, DOLBY J, KEMENTSIETSIDIS A, et al. Building an efficient RDF store over a relational database[C]//Proceedings of the 2013 ACM SIGMOD International Conference on Management of Data. New York, USA: ACM Press, 2013: 121-132.
|
| 14 |
SUN W, FOKOUE A, SRINIVAS K, et al. SQLGraph: an efficient relational-based property graph store[C]//Proceedings of the 2015 ACM SIGMOD International Conference on Management of Data. New York, USA: ACM Press, 2015: 1887-1901.
|
| 15 |
刘宝珠, 王鑫, 柳鹏凯, 等. KGDB: 统一模型和语言的知识图谱数据库管理系统. 软件学报, 2021, 32 (3): 781- 804.
|
|
LIU B Z , WANG X , LIU P K , et al. KGDB: knowledge graph database system with unified model and query language. Journal of Software, 2021, 32 (3): 781- 804.
|
| 16 |
Neo4j—the world's leading graph database[EB/OL]. [EB/OL]. [2024-12-08]. http://neo4j.org/.
|
| 17 |
ZOU L , ÖZSU M T , CHEN L , et al. gStore: a graph-based SPARQL query engine. The VLDB Journal, 2014, 23 (4): 565- 590.
doi: 10.1007/s00778-013-0337-7
|
| 18 |
YU Q L , GUO C , ZHUANG J , et al. CaaS-LSM: compaction-as-a-service for LSM-based key-value stores in storage disaggregated infrastructure. Proceedings of the ACM on Management of Data, 2024, 2 (3): 1- 28.
|
| 19 |
LI H F , TAO Q , YU S , et al. GastCoCo: graph storage and coroutine-based prefetch co-design for dynamic graph processing. Proceedings of the VLDB Endowment, 2024, 17 (13): 4827- 4839.
doi: 10.14778/3704965.3704986
|
| 20 |
GUO A X, LI J W, SUKPRASERT P, et al. To store or not to store: a graph theoretical approach for dataset versioning[C]//Proceedings of the IEEE International Parallel and Distributed Processing Symposium (IPDPS). Washington D.C., USA: IEEE Press, 2024: 479-493.
|
| 21 |
LI G L , ZHOU X H , SUN J , et al. openGauss. Proceedings of the VLDB Endowment, 2021, 14 (12): 3028- 3042.
doi: 10.14778/3476311.3476380
|
| 22 |
ERLING O . Virtuoso, a hybrid RDBMS/graph column store. IEEE Database Engineering Bulletin, 2012, 35 (1): 3- 8.
|
| 23 |
ERLING O, AVERBUCH A, LARRIBA-PEY J, et al. The LDBC social network benchmark: interactive workload[C]//Proceedings of the 2015 ACM SIGMOD International Conference on Management of Data. New York, USA: ACM Press, 2015: 619-630.
|
| 24 |
GUO Y B , PAN Z X , HEFLIN J . LUBM: a benchmark for OWL knowledge base systems. Journal of Web Semantics, 2005, 3 (2/3): 158- 182.
|
| 25 |
AUER S, BIZER C, KOBILAROV G, et al. DBpedia: a nucleus for a Web of open data[C]//Proceedings of the Semantic Web Conference. Berlin, Germany: Springer, 2007: 722-735.
|